Официальное опубликование правовых актов
ОФИЦИАЛЬНОЕ ОПУБЛИКОВАНИЕ
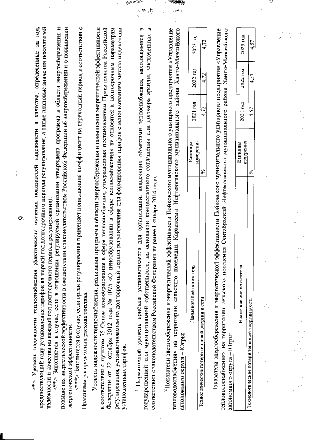
Приказ Региональной службы по тарифам Ханты-Мансийского автономного округа - Югры от 17.11.2020 № 59-нп
"Об установлении тарифов на тепловую энергию (мощность), поставляемую теплоснабжающими организациями потребителям"
(Зарегистрирован 20.11.2020 № 5225)
Номер опубликования: 8601202011270001
Дата опубликования: 27.11.2020
Страница №9 из 13:
Увеличить