Официальное опубликование правовых актов
ОФИЦИАЛЬНОЕ ОПУБЛИКОВАНИЕ
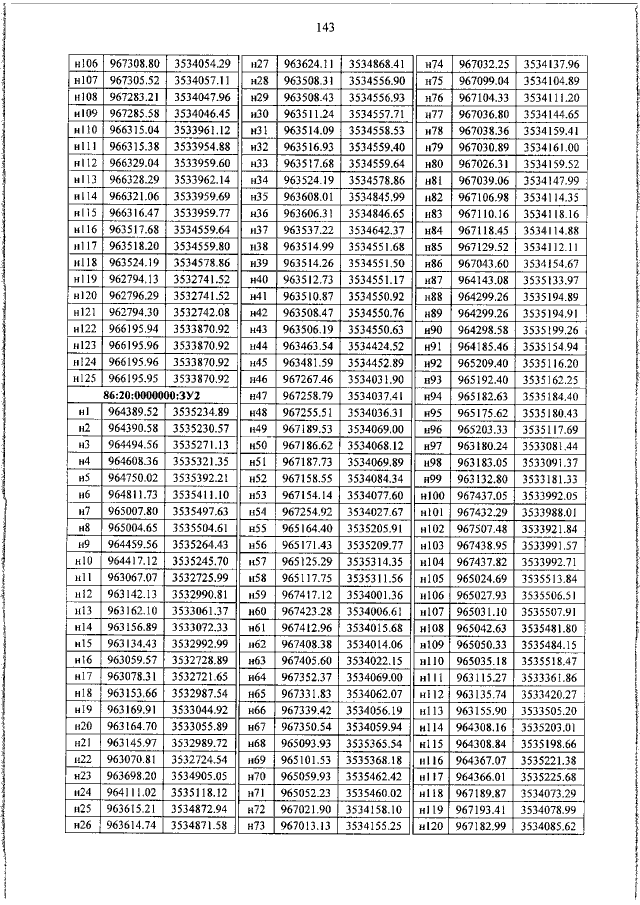
Приказ Департамента строительства Ханты-Мансийского автономного округа – Югры от 21.10.2020 № 24-нп
"Об утверждении документации по планировке территории и внесении изменений в некоторые приказы Департамента строительства Ханты-Мансийского автономного округа — Югры"
(Зарегистрирован 22.10.2020 № 5188)
Номер опубликования: 8601202010260001
Дата опубликования: 26.10.2020
Страница №143 из 175:
Увеличить