Официальное опубликование правовых актов
ОФИЦИАЛЬНОЕ ОПУБЛИКОВАНИЕ
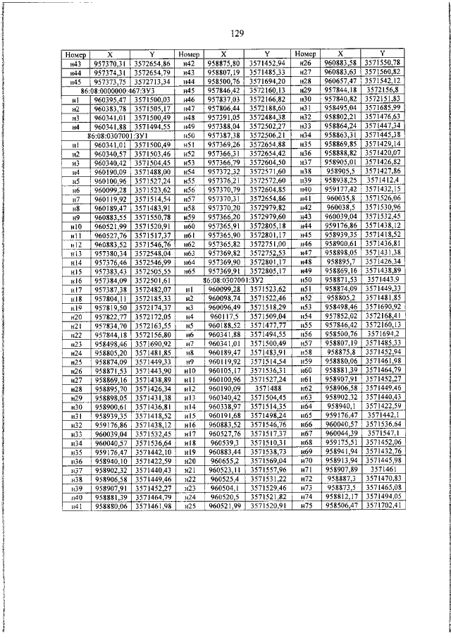
Приказ Департамента строительства Ханты-Мансийского автономного округа – Югры от 17.02.2020 № 4-нп
"Об утверждении документации по планировке территории"
(Зарегистрирован 20.02.2020 № 4873)
Номер опубликования: 8601202002260001
Дата опубликования: 26.02.2020
Страница №129 из 332:
Увеличить