Официальное опубликование правовых актов
ОФИЦИАЛЬНОЕ ОПУБЛИКОВАНИЕ
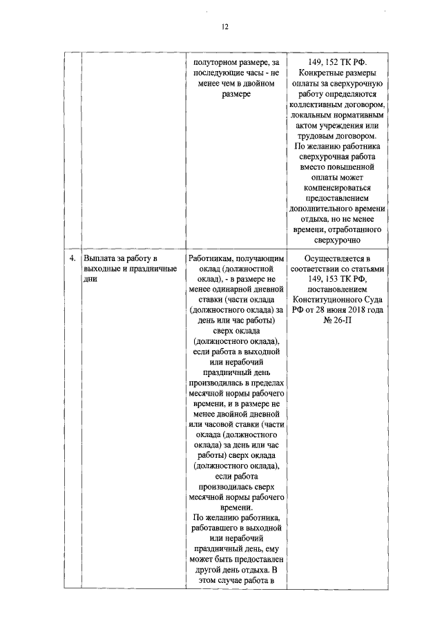
Приказ Департамента гражданской защиты населения Ханты-Мансийского автономного округа – Югры от 12.02.2020 № 2-нп
"О внесении изменений в приложение к приказу Департамента гражданской защиты населения Ханты-Мансийского автономного округа – Югры от 6 марта 2017 года № 2-нп "Об утверждении Положения об установлении системы оплаты труда работников казенных учреждений Ханты-Мансийского автономного округа – Югры, подведомственных Департаменту гражданской защиты населения Ханты-Мансийского автономного округа – Югры"
(Зарегистрирован 13.02.2020 № 4864)
Номер опубликования: 8601202002200002
Дата опубликования: 20.02.2020
Страница №12 из 18:
Увеличить