Официальное опубликование правовых актов
ОФИЦИАЛЬНОЕ ОПУБЛИКОВАНИЕ
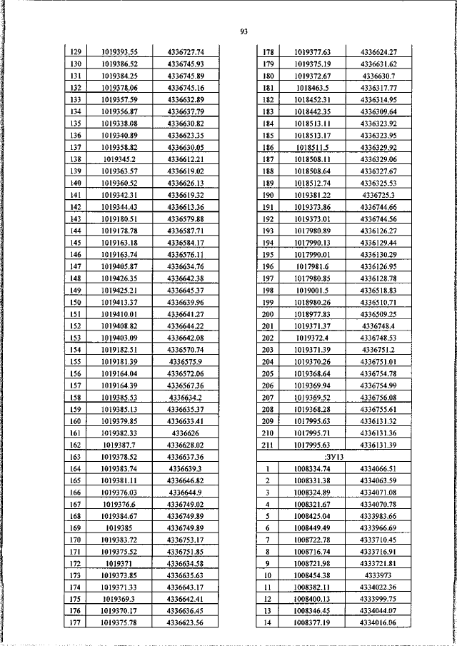
Приказ Департамента строительства Ханты-Мансийского автономного округа – Югры от 10.09.2019 № 22-нп
"Об утверждении документации по планировке территории и внесении изменений в некоторые приказы Департамента строительства Ханты-Мансийского автономного округа – Югры"
(Зарегистрирован 13.09.2019 № 4582)
Номер опубликования: 8601201909190001
Дата опубликования: 19.09.2019
Страница №93 из 690:
Увеличить