Официальное опубликование правовых актов
ОФИЦИАЛЬНОЕ ОПУБЛИКОВАНИЕ
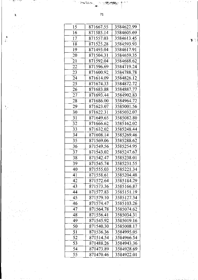
Приказ Службы государственной охраны объектов культурного наследия Ханты-Мансийского автономного округа - Югры от 10.07.2019 № 18-нп
"Об утверждении границ территорий и установлении особого режима использования земельных участков в границах территорий выявленных объектов культурного наследия, являющихся объектами археологического наследия, расположенных в Сургутском районе Ханты-Мансийского автономного округа – Югры"
(Зарегистрирован 17.07.2019 № 4512)
Номер опубликования: 8601201907190009
Дата опубликования: 19.07.2019
Страница №71 из 146:
Увеличить