Официальное опубликование правовых актов
ОФИЦИАЛЬНОЕ ОПУБЛИКОВАНИЕ
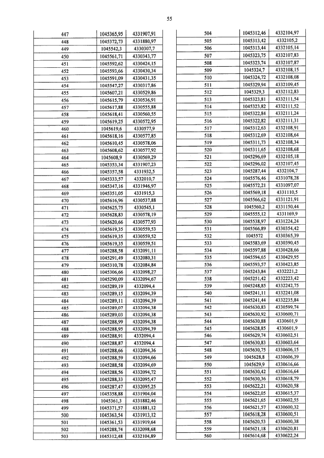
Приказ Департамента строительства Ханты-Мансийского автономного округа – Югры от 26.06.2019 № 14-нп
"Об утверждении документации по планировке территории и внесении изменений в некоторые приказы Департамента строительства Ханты-Мансийского автономного округа – Югры"
(Зарегистрирован 27.06.2019 № 4491)
Номер опубликования: 8601201906280003
Дата опубликования: 28.06.2019
Страница №55 из 151:
Увеличить