Официальное опубликование правовых актов
ОФИЦИАЛЬНОЕ ОПУБЛИКОВАНИЕ
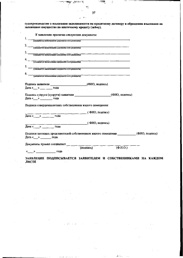
Приказ Департамента строительства Ханты-Мансийского автономного округа – Югры от 27.05.2019 № 10-нп
"Об утверждении Административного регламента предоставления государственной услуги по предоставлению субсидии гражданам на погашение полученных до 31 декабря 2013 года ипотечных жилищных кредитов С компенсацией части процентной ставки"
(Зарегистрирован 28.05.2019 № 4442)
Номер опубликования: 8601201906030002
Дата опубликования: 03.06.2019
Страница №37 из 38:
Увеличить