Официальное опубликование правовых актов
ОФИЦИАЛЬНОЕ ОПУБЛИКОВАНИЕ
Приказ Департамента строительства Ханты-Мансийского автономного округа – Югры от 17.05.2019 № 8-нп
"Об утверждении документации по планировке территории и внесении изменений в приказ Департамента строительства Ханты-Мансийского автономного округа - Югры от 24 января 2019 года № 2-нп "Об утверждении документации по планировке территории и внесении изменений в некоторые приказы Департамента строительства Ханты-Мансийского автономного округа - Югры"
(Зарегистрирован 23.05.2019 № 4433)
Номер опубликования: 8601201905310001
Дата опубликования: 31.05.2019
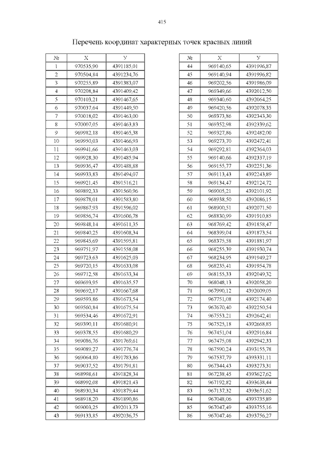
Страница №415 из 424:
Увеличить