Официальное опубликование правовых актов
ОФИЦИАЛЬНОЕ ОПУБЛИКОВАНИЕ
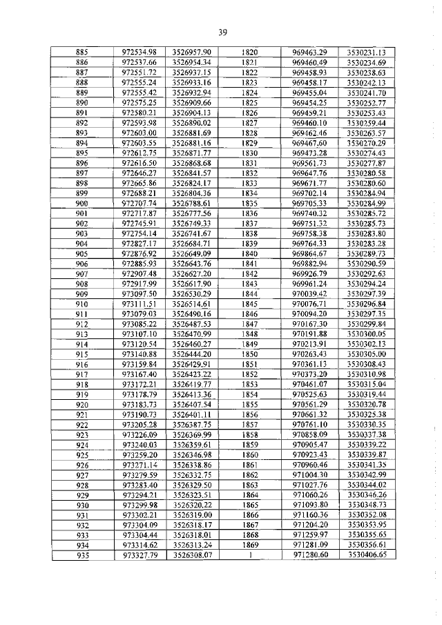
Приказ Департамента по управлению государственным имуществом Ханты-Мансийского автономного округа - Югры, Департамента недропользования и природных ресурсов Ханты-Мансийского автономного округа - Югры от 20.05.2019 № 11-нп/16-нп
"Об установлении придорожных полос автомобильных дорог регионального и межмуниципального значения"
(Зарегистрирован 27.05.2019 № 4437)
Номер опубликования: 8601201905300002
Дата опубликования: 30.05.2019
Страница №39 из 92:
Увеличить