Официальное опубликование правовых актов
ОФИЦИАЛЬНОЕ ОПУБЛИКОВАНИЕ
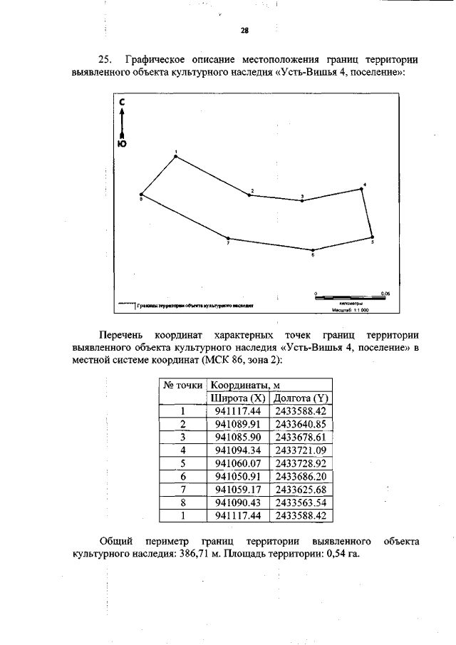
Приказ Службы государственной охраны объектов культурного наследия Ханты-Мансийского автономного округа - Югры от 20.05.2019 № 14-нп
"Об утверждении границ территорий и установлении особого режима использования земельных участков в границах территорий выявленных объектов культурного наследия, расположенных в Кондинском районе"
(Зарегистрирован 23.05.2019 № 4435)
Номер опубликования: 8601201905290001
Дата опубликования: 29.05.2019
Страница №28 из 69:
Увеличить