Официальное опубликование правовых актов
ОФИЦИАЛЬНОЕ ОПУБЛИКОВАНИЕ
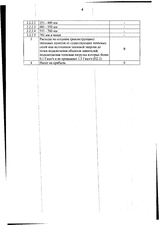
Приказ Региональной службы по тарифам Ханты-Мансийского автономного округа - Югры от 13.12.2018 № 101-нп
"Об установлении платы за подключение к системе теплоснабжения Акционерного общества "Управление теплоснабжения и инженерных сетей" на территории города Ханты-Мансийска на 2019 год"
(Зарегистрирован 19.12.2018 № 4125)
Номер опубликования: 8601201812210013
Дата опубликования: 21.12.2018
Страница №4 из 6:
Увеличить