Официальное опубликование правовых актов
ОФИЦИАЛЬНОЕ ОПУБЛИКОВАНИЕ
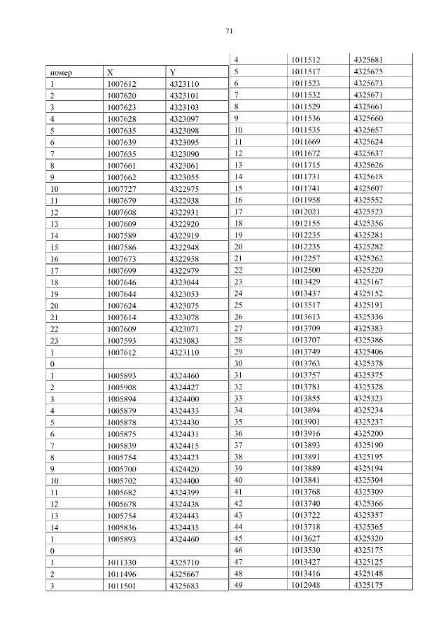
Приказ Департамента строительства Ханты-Мансийского автономного округа – Югры от 01.10.2018 № 22-нп
"Об утверждении документации по планировке территории для размещения линейных объектов"
(Зарегистрирован 05.10.2018 № 4010)
Номер опубликования: 8601201810100001
Дата опубликования: 10.10.2018
Страница №71 из 639:
Увеличить