Официальное опубликование правовых актов
ОФИЦИАЛЬНОЕ ОПУБЛИКОВАНИЕ
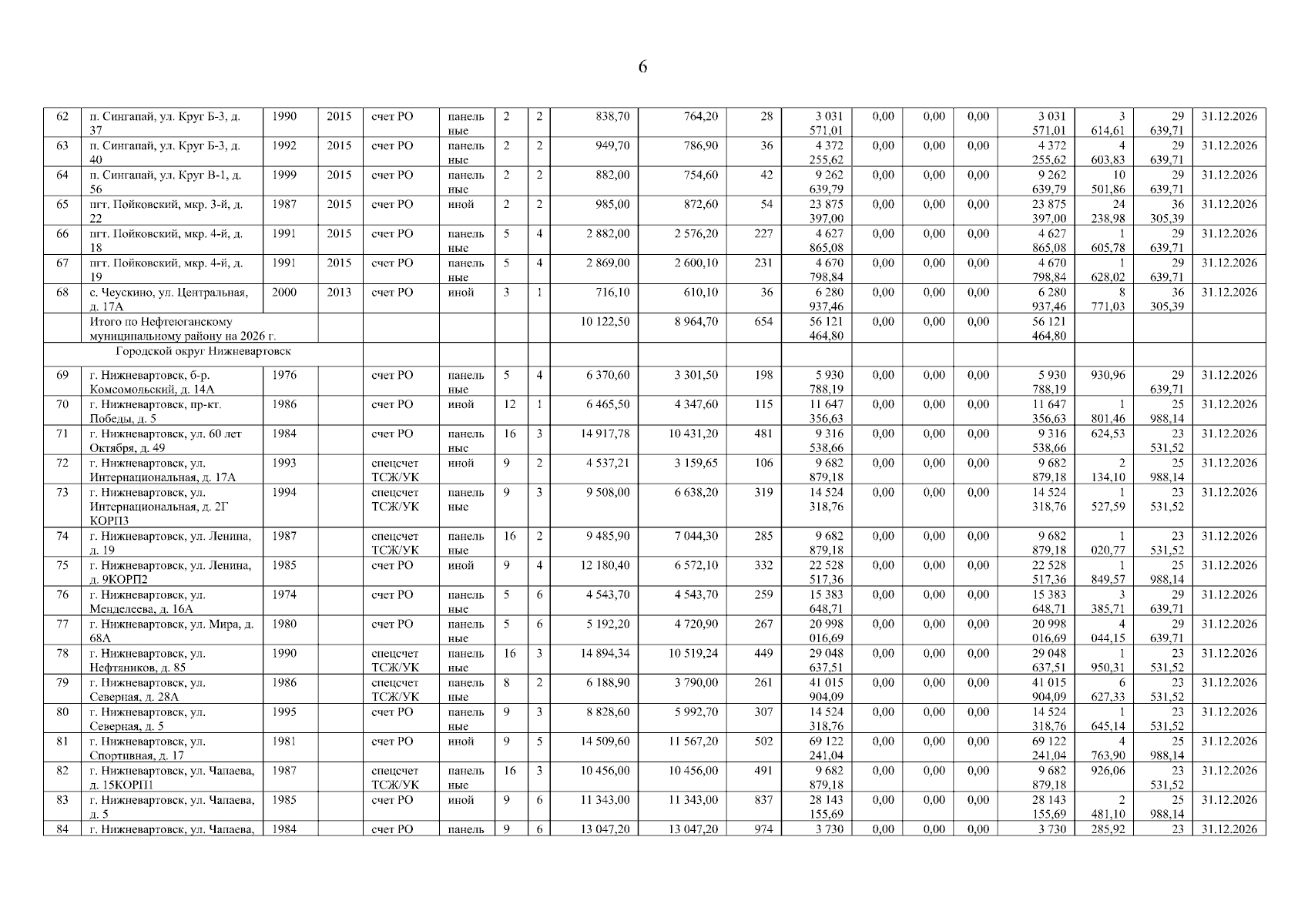
Постановление Правительства Ханты-Мансийского автономного округа - Югры от 25.11.2025 № 468-п
"О краткосрочном плане реализации программы капитального ремонта общего имущества в многоквартирных домах, расположенных на территории Ханты-Мансийского автономного округа – Югры, на 2026 – 2028 годы"
Номер опубликования: 8600202511280050
Дата опубликования: 28.11.2025
Страница №6 из 76:
Увеличить