Официальное опубликование правовых актов
ОФИЦИАЛЬНОЕ ОПУБЛИКОВАНИЕ
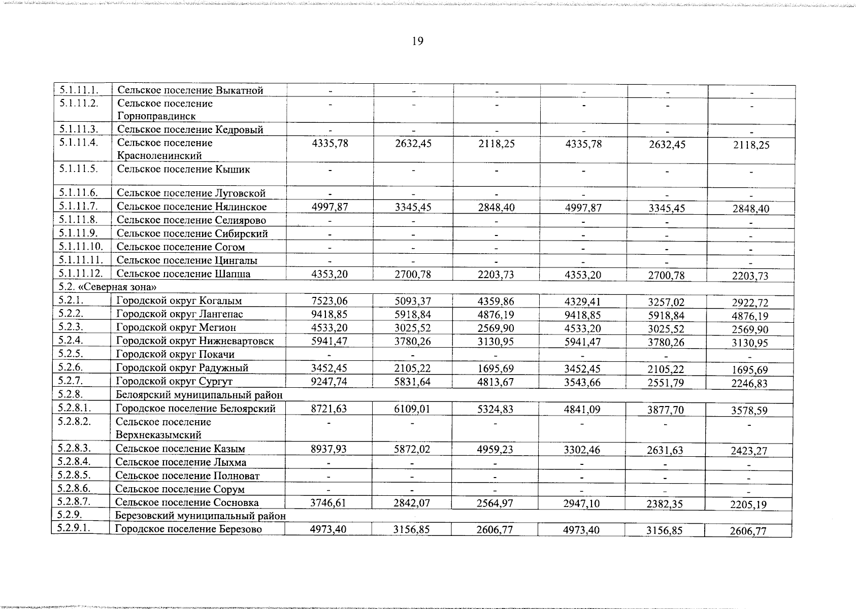
Постановление Правительства Ханты-Мансийского автономного округа - Югры от 30.04.2025 № 164-п
"О внесении изменений в постановление Правительства Ханты-Мансийского автономного округа – Югры от 14 декабря 2012 года № 505-п "О региональных стандартах стоимости жилищно-коммунальных услуг"
Номер опубликования: 8600202505050008
Дата опубликования: 05.05.2025
Страница №19 из 21:
Увеличить