Официальное опубликование правовых актов
ОФИЦИАЛЬНОЕ ОПУБЛИКОВАНИЕ
Постановление Правительства Ханты-Мансийского автономного округа - Югры от 08.10.2021 № 429-п
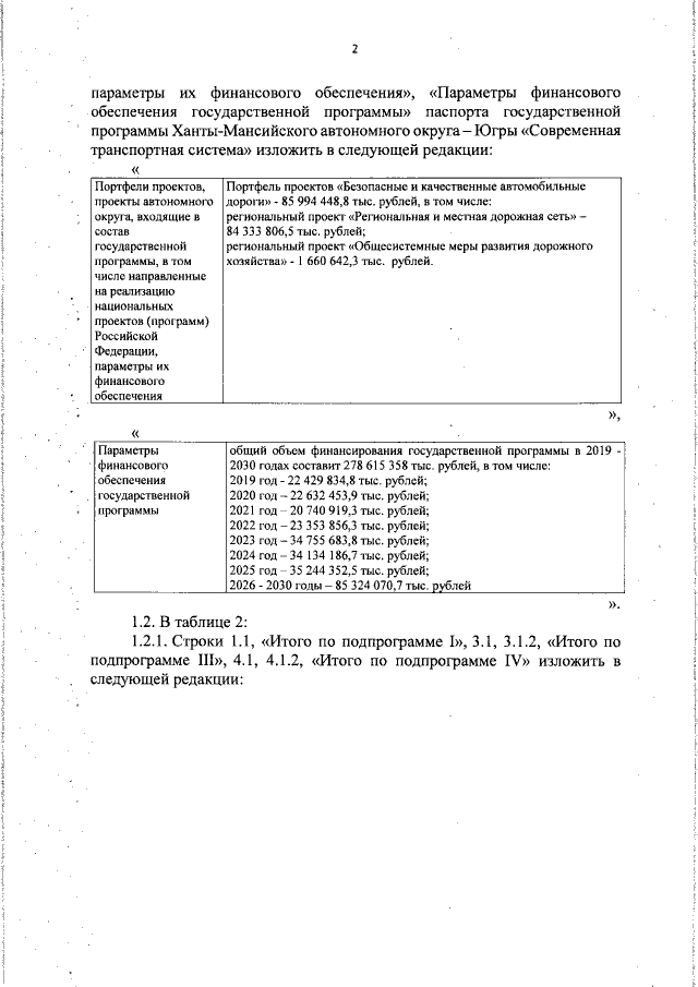
"О внесении изменений в постановление Правительства Ханты-Мансийского автономного округа – Югры от 5 октября 2018 года № 354-п "О государственной программе Ханты-Мансийского автономного округа – Югры "Современная транспортная система"
Номер опубликования: 8600202110140010
Дата опубликования: 14.10.2021
Страница №2 из 19:
Увеличить