Официальное опубликование правовых актов
ОФИЦИАЛЬНОЕ ОПУБЛИКОВАНИЕ
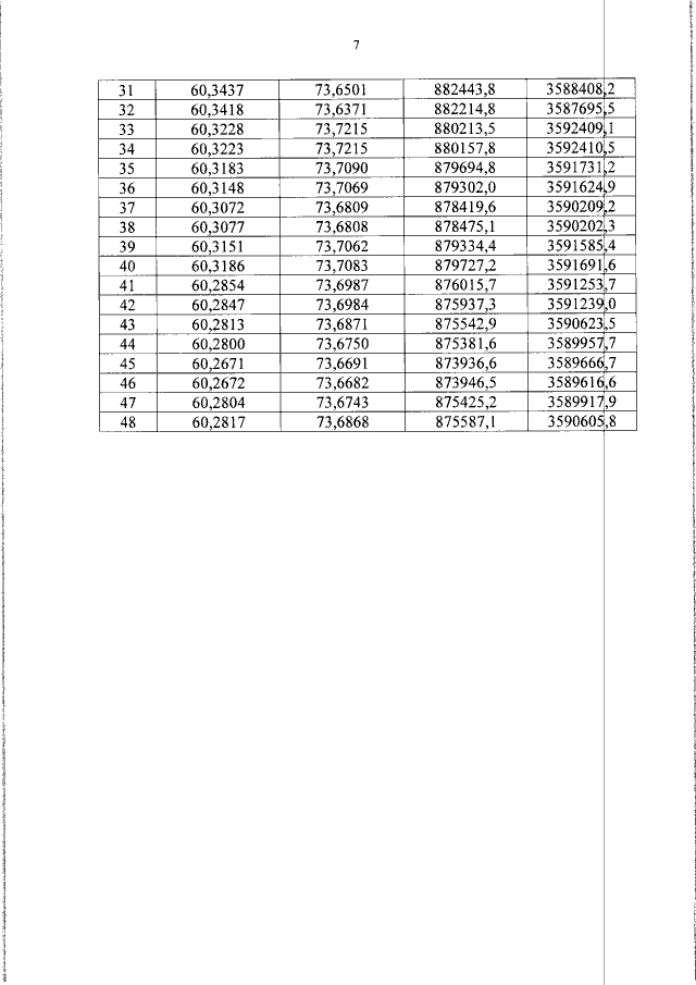
Постановление Губернатора Ханты-Мансийского автономного округа - Югры от 20.05.2021 № 68
"О создании охранных зон памятников природы регионального значения "Луговские мамонты", "Ильичевский бор", "Лесоболотная зона Большое Каюково" и "Чеускинский бор"
Номер опубликования: 8600202105250003
Дата опубликования: 25.05.2021
Страница №7 из 22:
Увеличить