Официальное опубликование правовых актов
ОФИЦИАЛЬНОЕ ОПУБЛИКОВАНИЕ
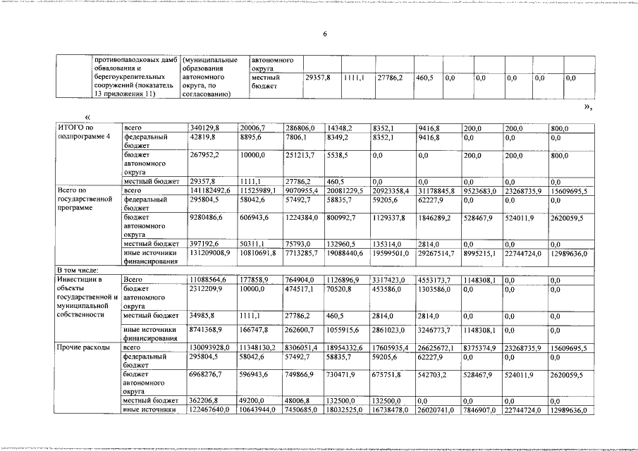
Постановление Правительства Ханты-Мансийского автономного округа - Югры от 07.05.2021 № 169-п
"О внесении изменений в постановление Правительства Ханты-Мансийского автономного округа – Югры от 5 октября 2018 года № 352-п "О государственной программе Ханты-Мансийского автономного округа – Югры "Экологическая безопасность"
Номер опубликования: 8600202105120006
Дата опубликования: 12.05.2021
Страница №6 из 22:
Увеличить