Официальное опубликование правовых актов
ОФИЦИАЛЬНОЕ ОПУБЛИКОВАНИЕ
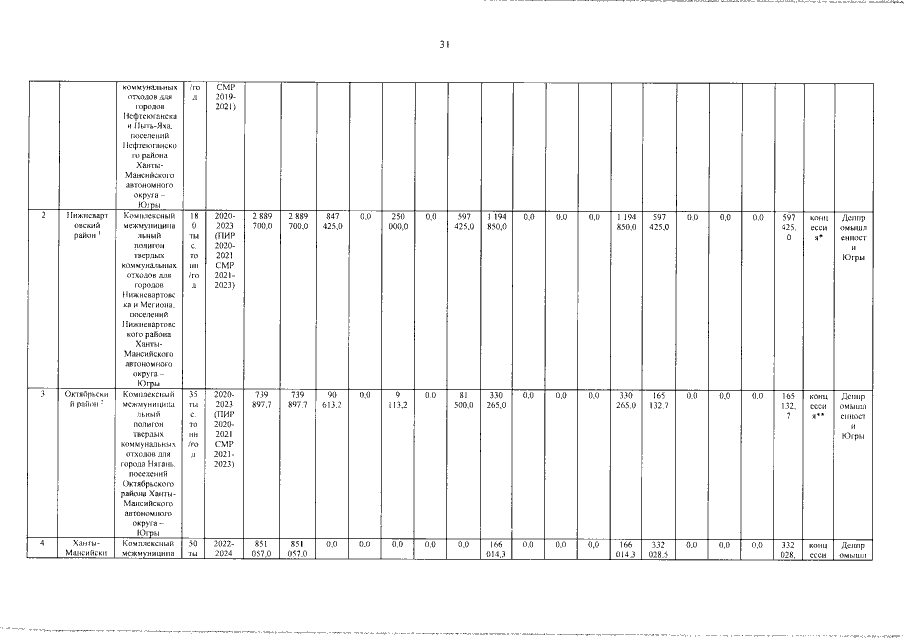
Постановление Правительства Ханты-Мансийского автономного округа - Югры от 26.03.2021 № 93-п
"О внесении изменений в постановление Правительства Ханты-Мансийского автономного округа – Югры от 5 октября 2018 года № 352-п "О государственной программе Ханты-Мансийского автономного округа – Югры "Экологическая безопасность"
Номер опубликования: 8600202103310010
Дата опубликования: 31.03.2021
Страница №31 из 33:
Увеличить