Официальное опубликование правовых актов
ОФИЦИАЛЬНОЕ ОПУБЛИКОВАНИЕ
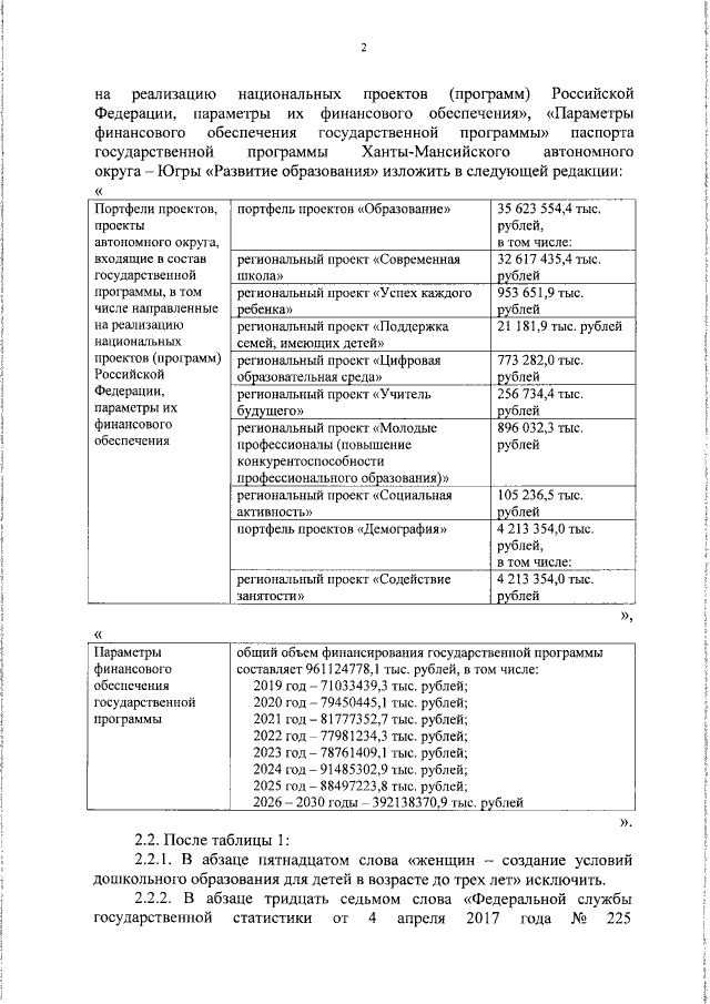
Постановление Правительства Ханты-Мансийского автономного округа - Югры от 12.02.2021 № 39-п
"О внесении изменений в постановление Правительства Ханты-Мансийского автономного округа – Югры от 5 октября 2018 года № 338-п "О государственной программе Ханты-Мансийского автономного округа – Югры "Развитие образования"
Номер опубликования: 8600202102180002
Дата опубликования: 18.02.2021
Страница №2 из 44:
Увеличить