Официальное опубликование правовых актов
ОФИЦИАЛЬНОЕ ОПУБЛИКОВАНИЕ
Постановление Правительства Ханты-Мансийского автономного округа - Югры от 29.01.2021 № 21-п
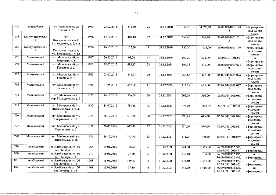
"О внесении изменений в приложение к постановлению Правительства Ханты-Мансийского автономного округа – Югры от 1 апреля 2019 года № 104-п "Об адресной программе Ханты-Мансийского автономного округа – Югры по переселению граждан из аварийного жилищного фонда на 2019 – 2025 годы"
Номер опубликования: 8600202102050007
Дата опубликования: 05.02.2021
Страница №55 из 95:
Увеличить