Официальное опубликование правовых актов
ОФИЦИАЛЬНОЕ ОПУБЛИКОВАНИЕ
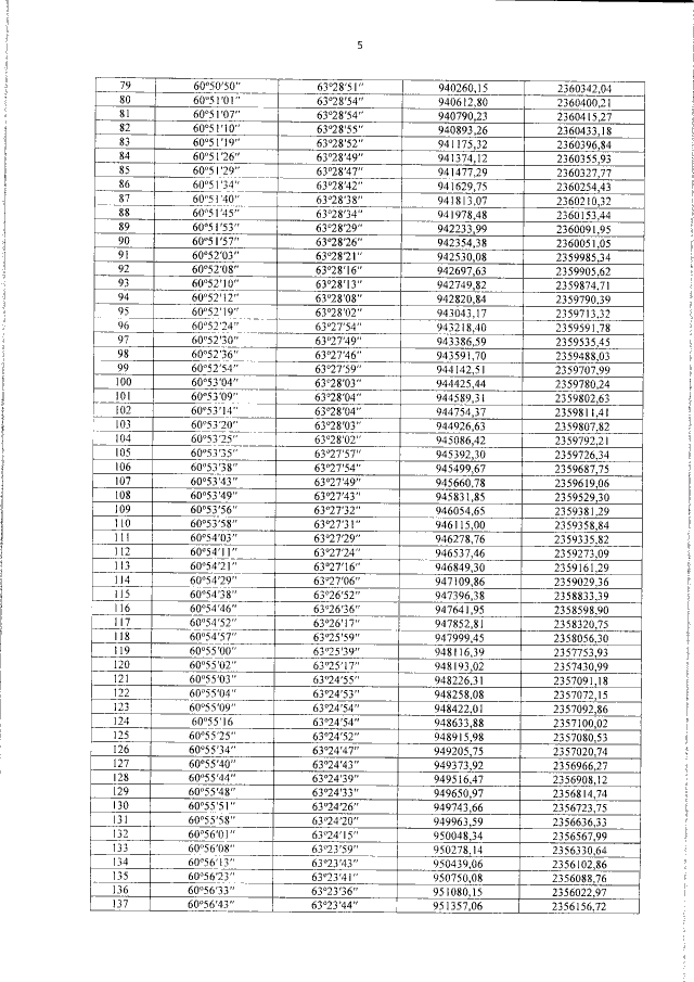
Постановление Правительства Ханты-Мансийского автономного округа - Югры от 22.01.2021 № 13-п
"О внесении изменений в приложение к постановлению Правительства Ханты-Мансийского автономного округа – Югры от 26 июня 2015 года № 188-п "О Положении о природном парке "Кондинские озера"
Номер опубликования: 8600202101270011
Дата опубликования: 27.01.2021
Страница №5 из 8:
Увеличить