Официальное опубликование правовых актов
ОФИЦИАЛЬНОЕ ОПУБЛИКОВАНИЕ
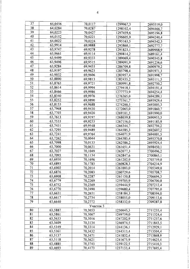
Постановление Губернатора Ханты-Мансийского автономного округа - Югры от 19.11.2020 № 156
"О создании охранной зоны природного парка "Нумто"
Номер опубликования: 8600202011230001
Дата опубликования: 23.11.2020
Страница №4 из 9:
Увеличить