Официальное опубликование правовых актов
ОФИЦИАЛЬНОЕ ОПУБЛИКОВАНИЕ
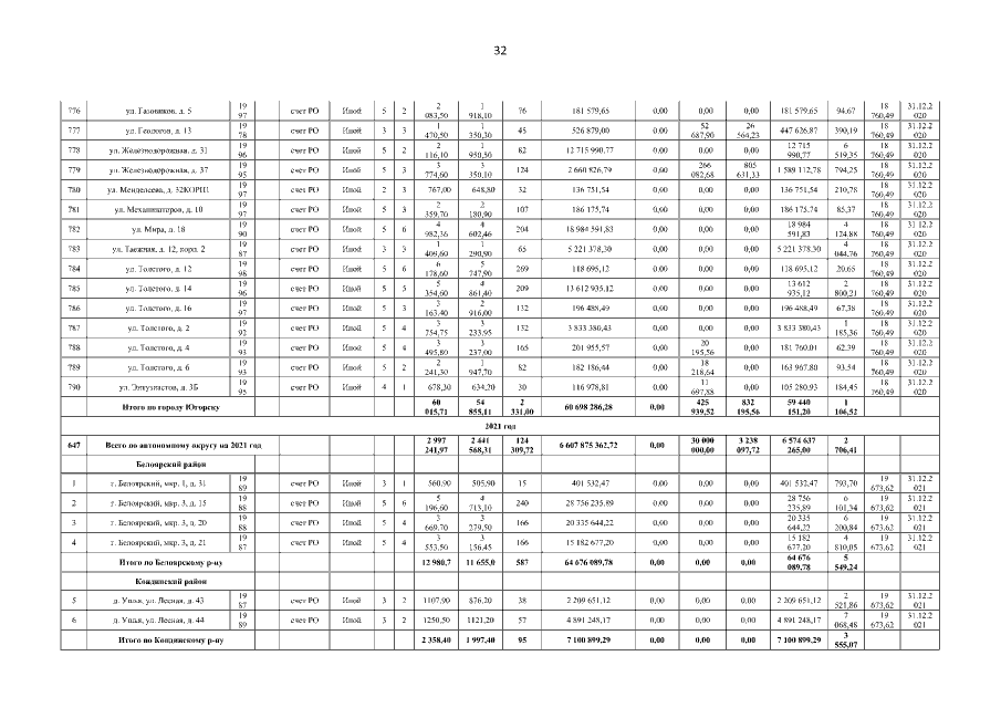
Постановление Правительства Ханты-Мансийского автономного округа - Югры от 25.09.2020 № 413-п
"О внесении изменения в постановление Правительства Ханты-Мансийского автономного округа — Югры от 26 апреля 2019 года № 136-п "О краткосрочном плане реализации программы капитального ремонта общего имущества в многоквартирных домах, расположенных на территории Ханты-Мансийского автономного округа — Югры, на 2020 — 2022 годы"
Номер опубликования: 8600202010010005
Дата опубликования: 01.10.2020
Страница №32 из 169:
Увеличить