Официальное опубликование правовых актов
ОФИЦИАЛЬНОЕ ОПУБЛИКОВАНИЕ
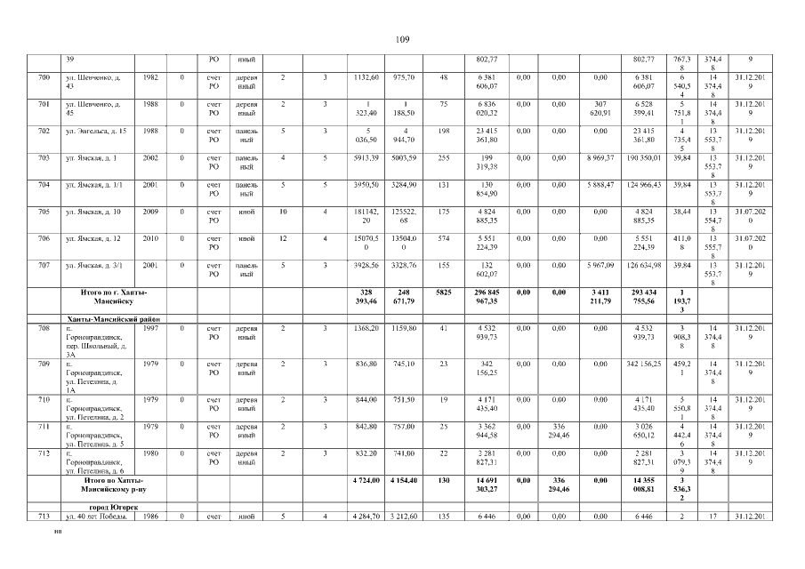
Постановление Правительства Ханты-Мансийского автономного округа - Югры от 19.12.2019 № 514-п
"О внесении изменения в постановление Правительства Ханты-Мансийского автономного округа – Югры от 2 сентября 2016 года № 334-п "О краткосрочном плане реализации программы капитального ремонта общего имущества в многоквартирных домах, расположенных на территории Ханты-Мансийского автономного округа – Югры, на 2017 – 2019 годы"
Номер опубликования: 8600201912270002
Дата опубликования: 27.12.2019
Страница №109 из 233:
Увеличить