Официальное опубликование правовых актов
ОФИЦИАЛЬНОЕ ОПУБЛИКОВАНИЕ
Постановление Правительства Ханты-Мансийского автономного округа - Югры от 19.12.2019 № 515-п
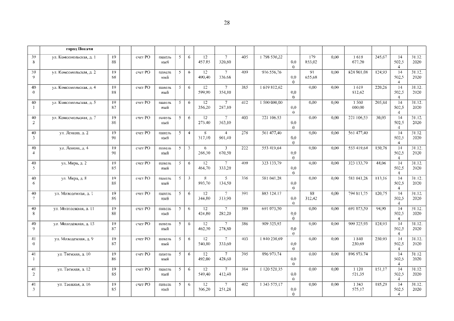
"О внесении изменения в постановление Правительства Ханты-Мансийского автономного округа – Югры от 26 апреля 2019 года № 136-п "О краткосрочном плане реализации программы капитального ремонта общего имущества в многоквартирных домах, расположенных на территории Ханты-Мансийского автономного округа – Югры, на 2020 – 2022 годы"
Номер опубликования: 8600201912260011
Дата опубликования: 26.12.2019
Страница №28 из 476:
Увеличить