Официальное опубликование правовых актов
ОФИЦИАЛЬНОЕ ОПУБЛИКОВАНИЕ
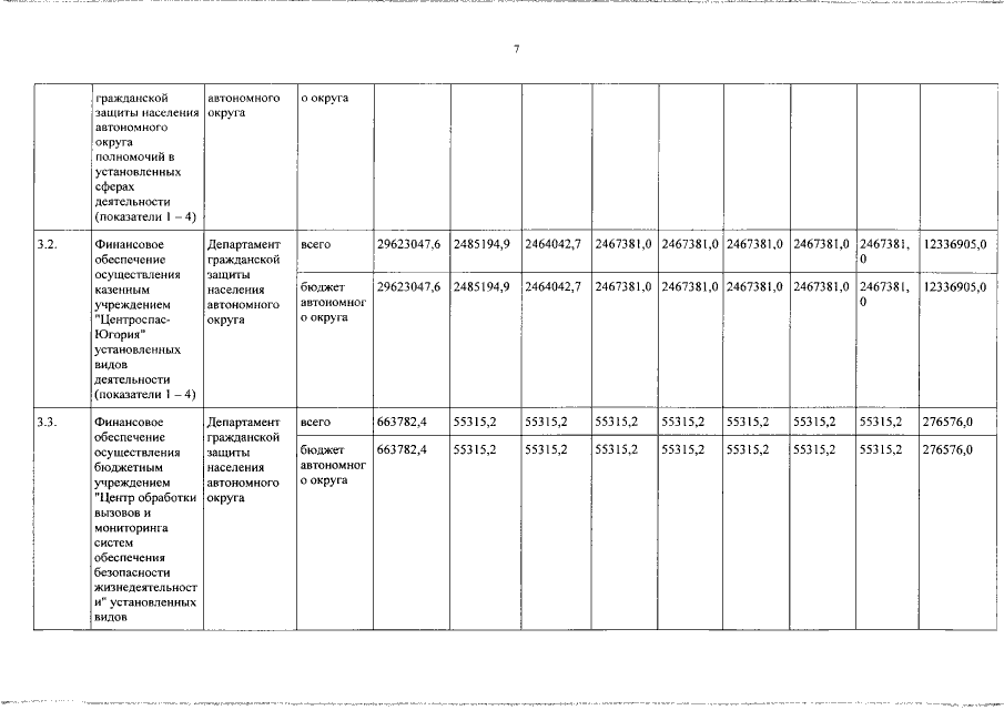
Постановление Правительства Ханты-Мансийского автономного округа - Югры от 29.11.2019 № 447-п
"О внесении изменений в приложение 1 к постановлению Правительства Ханты-Мансийского автономного округа – Югры от 5 октября 2018 года № 351-п "О государственной программе Ханты-Мансийского автономного округа – Югры "Безопасность жизнедеятельности"
Номер опубликования: 8600201912050024
Дата опубликования: 05.12.2019
Страница №7 из 9:
Увеличить