Официальное опубликование правовых актов
ОФИЦИАЛЬНОЕ ОПУБЛИКОВАНИЕ
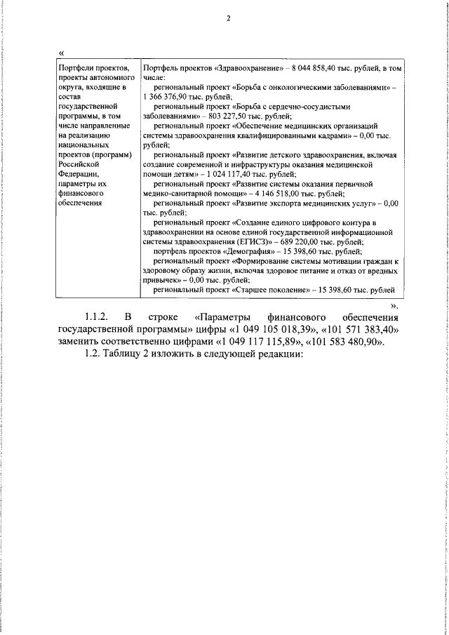
Постановление Правительства Ханты-Мансийского автономного округа - Югры от 29.11.2019 № 439-п
"О внесении изменений в постановление Правительства Ханты-Мансийского автономного округа – Югры от 5 октября 2018 года № 337-п "О государственной программе Ханты-Мансийского автономного округа – Югры "Современное здравоохранение"
Номер опубликования: 8600201912050002
Дата опубликования: 05.12.2019
Страница №2 из 28:
Увеличить