Официальное опубликование правовых актов
ОФИЦИАЛЬНОЕ ОПУБЛИКОВАНИЕ
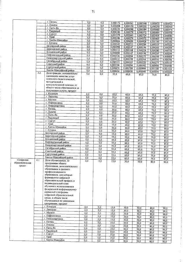
Постановление Правительства Ханты-Мансийского автономного округа - Югры от 18.10.2019 № 377-п
"О внесении изменений в постановление Правительства Ханты-Мансийского автономного округа – Югры от 5 октября 2018 года № 338-п "О государственной программе Ханты-Мансийского автономного округа – Югры "Развитие образования"
Номер опубликования: 8600201910240016
Дата опубликования: 24.10.2019
Страница №71 из 74:
Увеличить