Официальное опубликование правовых актов
ОФИЦИАЛЬНОЕ ОПУБЛИКОВАНИЕ
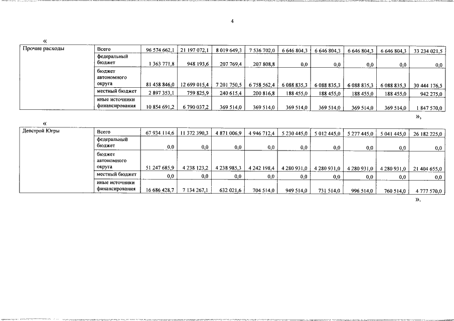
Постановление Правительства Ханты-Мансийского автономного округа - Югры от 05.09.2019 № 308-п
"О внесении изменений в постановление Правительства Ханты-Мансийского автономного округа – Югры от 5 октября 2018 года № 346-п "О государственной программе Ханты-Мансийского автономного округа – Югры "Развитие жилищной сферы"
Номер опубликования: 8600201909100003
Дата опубликования: 10.09.2019
Страница №4 из 7:
Увеличить