Официальное опубликование правовых актов
ОФИЦИАЛЬНОЕ ОПУБЛИКОВАНИЕ
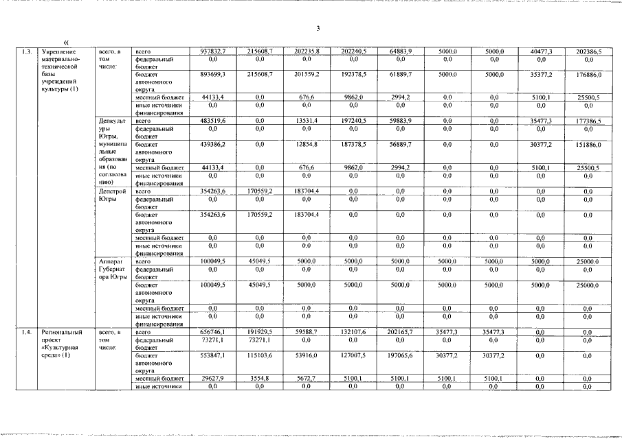
Постановление Правительства Ханты-Мансийского автономного округа - Югры от 05.07.2019 № 213-п
"О внесении изменений в постановление Правительства Ханты-Мансийского автономного округа – Югры от 5 октября 2018 года № 341-п "О государственной программе Ханты-Мансийского автономного округа – Югры "Культурное пространство"
Номер опубликования: 8600201907100001
Дата опубликования: 10.07.2019
Страница №3 из 18:
Увеличить