Официальное опубликование правовых актов
ОФИЦИАЛЬНОЕ ОПУБЛИКОВАНИЕ
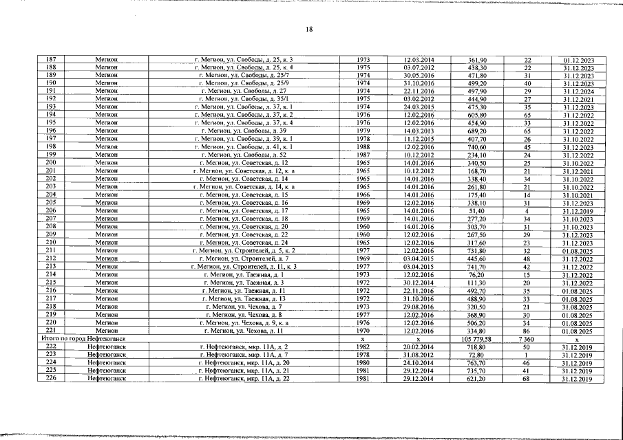
Постановление Правительства Ханты-Мансийского автономного округа - Югры от 01.04.2019 № 104-п
"Об адресной программе Ханты-Мансийского автономного округа – Югры по переселению граждан из аварийного жилищного фонда на 2019 – 2025 годы"
Номер опубликования: 8600201904050003
Дата опубликования: 05.04.2019
Страница №18 из 52:
Увеличить