Официальное опубликование правовых актов
ОФИЦИАЛЬНОЕ ОПУБЛИКОВАНИЕ
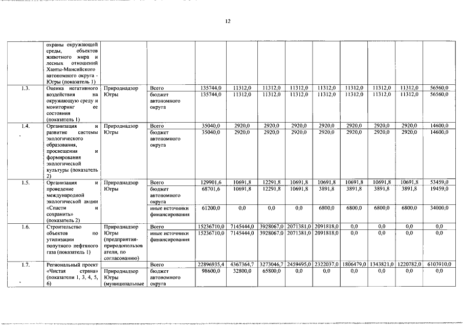
Постановление Правительства Ханты-Мансийского автономного округа - Югры от 15.02.2019 № 45-п
"О внесении изменений в приложение к постановлению Правительства Ханты-Мансийского автономного округа – Югры от 5 октября 2018 года № 352-п "О государственной программе Ханты-Мансийского автономного округа – Югры "Экологическая безопасность"
Номер опубликования: 8600201902200006
Дата опубликования: 20.02.2019
Страница №12 из 41:
Увеличить