Официальное опубликование правовых актов
ОФИЦИАЛЬНОЕ ОПУБЛИКОВАНИЕ
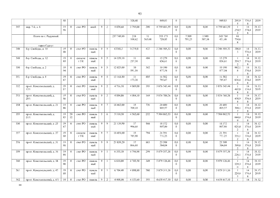
Постановление Правительства Ханты-Мансийского автономного округа - Югры от 30.11.2018 № 454-п
"О внесении изменения в постановление Правительства Ханты-Мансийского автономного округа – Югры от 2 сентября 2016 года № 334-п "О краткосрочном плане реализации программы капитального ремонта общего имущества в многоквартирных домах, расположенных на территории Ханты-Мансийского автономного округа – Югры, на 2017 - 2019 годы"
Номер опубликования: 8600201812060001
Дата опубликования: 06.12.2018
Страница №93 из 256:
Увеличить