Официальное опубликование правовых актов
ОФИЦИАЛЬНОЕ ОПУБЛИКОВАНИЕ
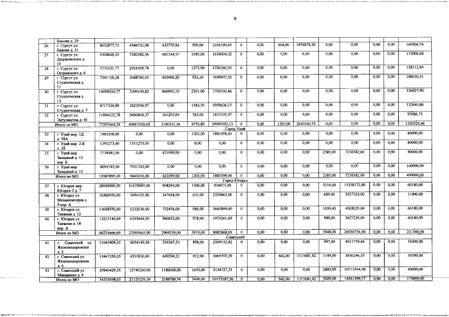
Постановление Правительства Ханты-Мансийского автономного округа - Югры от 16.11.2018 № 421-п
"Об итогах выполнения адресных программ Ханты-Мансийского автономного округа – Югры по проведению капитального ремонта многоквартирных домов на 2012, 2013 годы"
Номер опубликования: 8600201811210005
Дата опубликования: 21.11.2018
Страница №9 из 18:
Увеличить