Постановление Правительства Ханты-Мансийского автономного округа - Югры от 16.11.2018 № 421-п
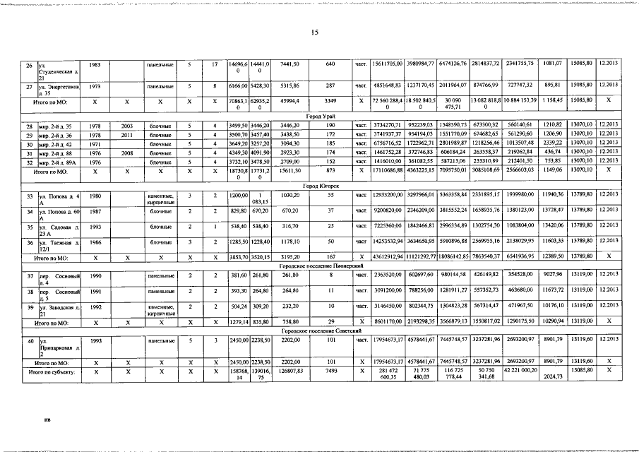
"Об итогах выполнения адресных программ Ханты-Мансийского автономного округа – Югры по проведению капитального ремонта многоквартирных домов на 2012, 2013 годы"
"Об итогах выполнения адресных программ Ханты-Мансийского автономного округа – Югры по проведению капитального ремонта многоквартирных домов на 2012, 2013 годы"
Номер опубликования: 8600201811210005
Дата опубликования:
21.11.2018
