Официальное опубликование правовых актов
ОФИЦИАЛЬНОЕ ОПУБЛИКОВАНИЕ
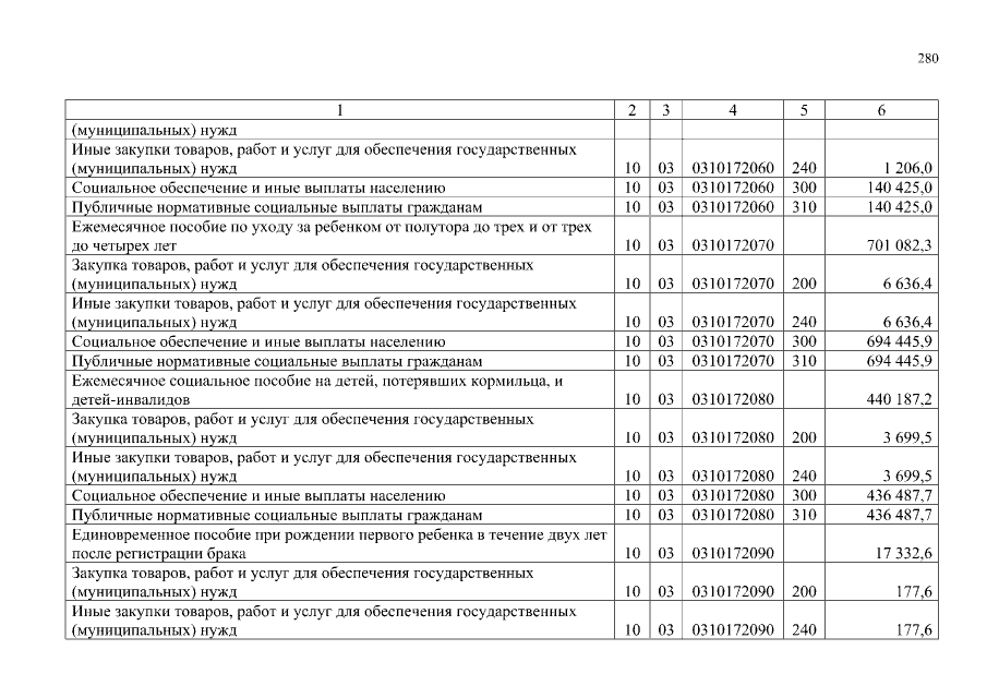
Закон Ханты-Мансийского автономного округа - Югры от 29.06.2018 № 49-оз
"О внесении изменений в Закон Ханты-Мансийского автономного округа – Югры "О бюджете Ханты-Мансийского автономного округа – Югры на 2018 год и на плановый период 2019 и 2020 годов"
Номер опубликования: 8600201807030013
Дата опубликования: 03.07.2018
Страница №280 из 900:
Увеличить