Официальное опубликование правовых актов
ОФИЦИАЛЬНОЕ ОПУБЛИКОВАНИЕ
Постановление Правительства Ханты-Мансийского автономного округа - Югры от 11.05.2018 № 152-п
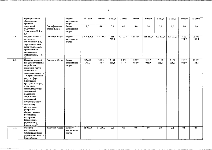
"О внесении изменений в приложение к постановлению Правительства Ханты-Мансийского автономного округа – Югры от 9 октября 2013 года № 422-п "О государственной программе Ханты-Мансийского автономного округа – Югры "Развитие физической культуры и спорта в Ханты-Мансийском автономном округе – Югре на 2018-2025 годы и на период до 2030 года"
Номер опубликования: 8600201805150007
Дата опубликования: 15.05.2018
Страница №6 из 10:
Увеличить