Официальное опубликование правовых актов
ОФИЦИАЛЬНОЕ ОПУБЛИКОВАНИЕ
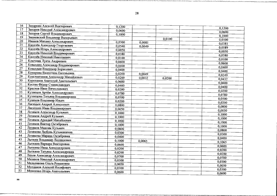
Постановление Правительства Ханты-Мансийского автономного округа - Югры от 16.02.2018 № 34-п
"О распределении квот добычи (вылова) водных биологических ресурсов для организации рыболовства в целях обеспечения ведения традиционного образа жизни и осуществления традиционной хозяйственной деятельности коренных малочисленных народов Севера в Ханты-Мансийском автономном округе – Югре на 2018 год"
Номер опубликования: 8600201802210001
Дата опубликования: 21.02.2018
Страница №28 из 34:
Увеличить