Официальное опубликование правовых актов
ОФИЦИАЛЬНОЕ ОПУБЛИКОВАНИЕ
Постановление Губернатора Ханты-Мансийского автономного округа - Югры от 28.11.2017 № 129
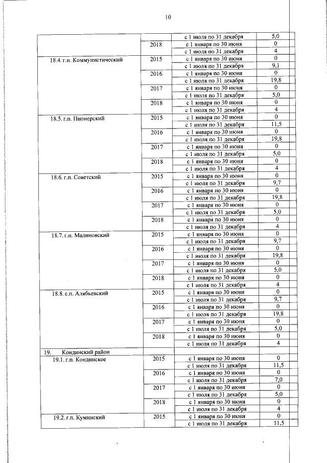
"О внесении изменений в постановление Губернатора Ханты-Мансийского автономного округа – Югры от 29 мая 2014 года № 65 "О предельных (максимальных) индексах изменения размера вносимой гражданами платы за коммунальные услуги в муниципальных образованиях Ханты-Мансийского автономного округа – Югры на период с 1 июля 2014 года по 2018 год"
Номер опубликования: 8600201712010001
Дата опубликования: 01.12.2017
Страница №10 из 153:
Увеличить