Официальное опубликование правовых актов
ОФИЦИАЛЬНОЕ ОПУБЛИКОВАНИЕ
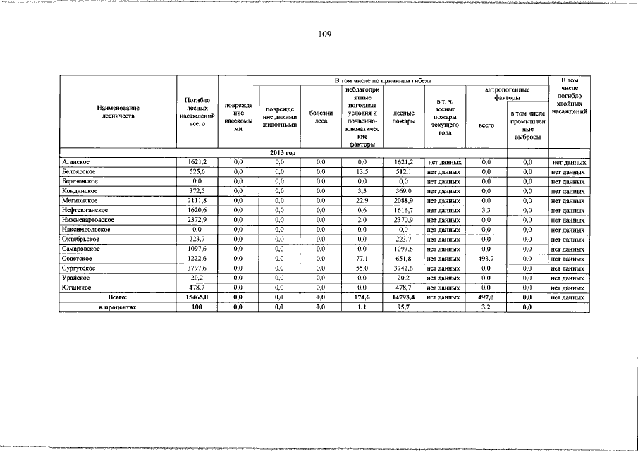
Постановление Губернатора Ханты-Мансийского автономного округа - Югры от 11.08.2017 № 92
"О внесении изменений в постановление Губернатора Ханты-Мансийского автономного округа – Югры от 29 декабря 2008 года № 190 "Об утверждении Лесного плана Ханты-Мансийского автономного округа – Югры"
Номер опубликования: 8600201708150001
Дата опубликования: 15.08.2017
Страница №109 из 559:
Увеличить