Официальное опубликование правовых актов
ОФИЦИАЛЬНОЕ ОПУБЛИКОВАНИЕ
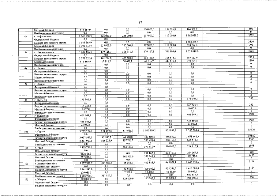
Постановление Правительства Ханты-Мансийского автономного округа - Югры от 11.11.2016 № 447-п
"О внесении изменений в приложение к постановлению Правительства Ханты-Мансийского автономного округа – Югры от 9 октября 2013 года № 413-п "О государственной программе Ханты-Мансийского автономного округа – Югры "Развитие образования в Ханты-Мансийском автономном округе – Югре на 2016-2020 годы"
Номер опубликования: 8600201611160008
Дата опубликования: 16.11.2016
Страница №67 из 132:
Увеличить