Официальное опубликование правовых актов
ОФИЦИАЛЬНОЕ ОПУБЛИКОВАНИЕ
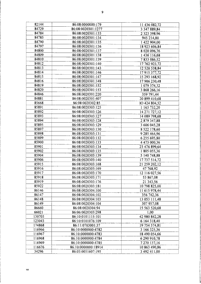
Постановление Правительства Ханты-Мансийского автономного округа - Югры от 24.06.2016 № 221-п
"О внесении изменений в приложение 1 к постановлению Правительства Ханты-Мансийского автономного округа – Югры от 7 августа 2015 года № 249-п "Об утверждении результатов определения кадастровой стоимости земельных участков в составе земель населенных пунктов на территории Ханты-Мансийского автономного округа – Югры и признании утратившими силу некоторых постановлений Правительства Ханты-Мансийского автономного округа – Югры"
Номер опубликования: 8600201606280009
Дата опубликования: 28.06.2016
Страница №9 из 10:
Увеличить