Официальное опубликование правовых актов
ОФИЦИАЛЬНОЕ ОПУБЛИКОВАНИЕ
Постановление Правительства Ханты-Мансийского автономного округа - Югры от 17.06.2016 № 212-п
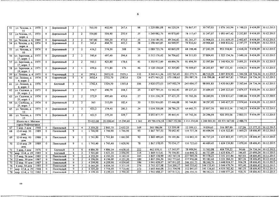
"О внесении изменения в постановление Правительства Ханты-Мансийского автономного округа – Югры от 5 июня 2014 года № 202-п "О краткосрочном плане реализации программы капитального ремонта общего имущества в многоквартирных домах, расположенных на территории Ханты-Мансийского автономного округа – Югры, на 2014 - 2016 годы"
Номер опубликования: 8600201606210004
Дата опубликования: 21.06.2016
Страница №6 из 104:
Увеличить