Официальное опубликование правовых актов
ОФИЦИАЛЬНОЕ ОПУБЛИКОВАНИЕ
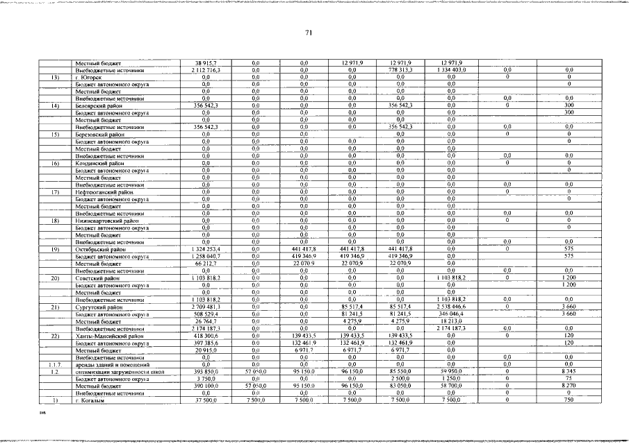
Постановление Ханты-Мансийского автономного округа - Югры, Правительства Ханты-Мансийского автономного округа - Югры от 29.01.2016 № 11-п
"О внесении изменений в приложение к постановлению Правительства Ханты-Мансийского автономного округа - Югры от 9 октября 2013 года № 413-п "О государственной программе Ханты-Мансийского автономного округа - Югры "Развитие образования в Ханты-Мансийском автономном округе - Югре на 2016-2020 годы"
Номер опубликования: 8600201602080002
Дата опубликования: 08.02.2016
Страница №71 из 109:
Увеличить