Официальное опубликование правовых актов
ОФИЦИАЛЬНОЕ ОПУБЛИКОВАНИЕ
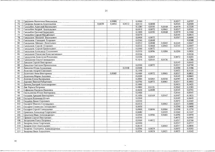
Постановление Правительства Ханты-Мансийского автономного округа - Югры от 29.01.2016 № 14-п
"О распределении квот добычи (вылова) водных биологических ресурсов в целях обеспечения ведения традиционного образа жизни и осуществления традиционной хозяйственной деятельности коренных малочисленных народов Севера в водных объектах на территории Ханты-Мансийского автономного округа - Югры на 2016 год"
Номер опубликования: 8600201602020018
Дата опубликования: 02.02.2016
Страница №21 из 44:
Увеличить