Официальное опубликование правовых актов
ОФИЦИАЛЬНОЕ ОПУБЛИКОВАНИЕ
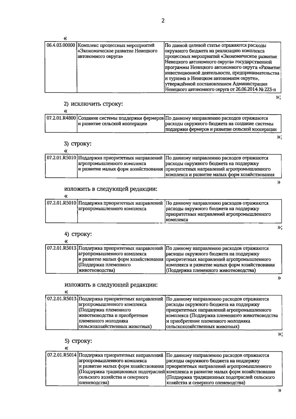
Приказ Департамента финансов и экономики Ненецкого автономного округа от 24.12.2025 № 26-о
"О внесении изменений в Порядок применения целевых статей классификации расходов окружного бюджета и бюджета Территориального фонда обязательного медицинского страхования Ненецкого автономного округа"
(Зарегистрирован 25.12.2025 № 393)
Номер опубликования: 8301202512290001
Дата опубликования: 29.12.2025
Страница №2 из 32:
Увеличить