Официальное опубликование правовых актов
ОФИЦИАЛЬНОЕ ОПУБЛИКОВАНИЕ
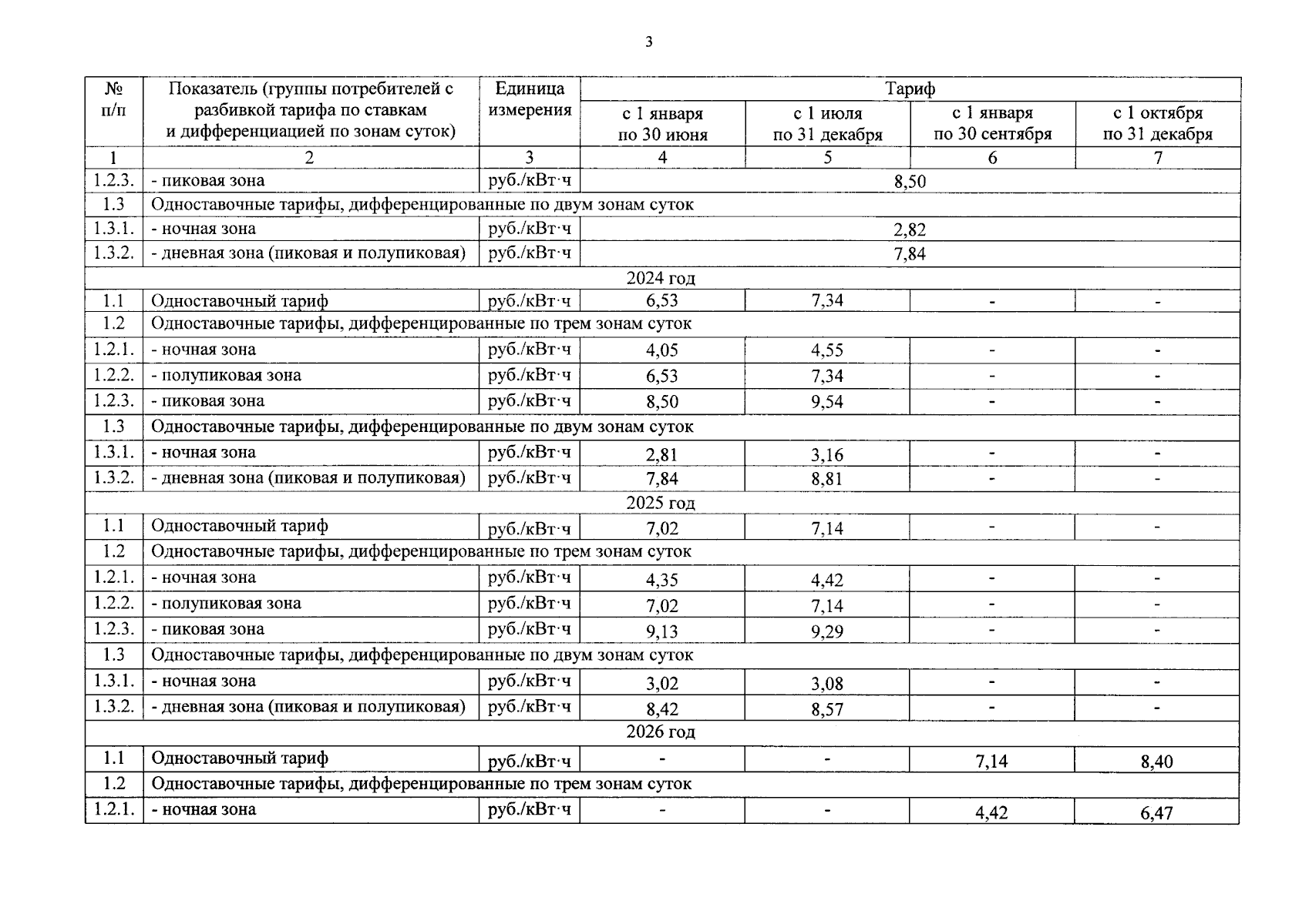
Приказ Управления по государственному регулированию цен (тарифов) Ненецкого автономного округа от 24.12.2025 № 73
"О внесении изменения в приказ Управления по государственному регулированию цен (тарифов) Ненецкого автономного округа от 25.11.2022 № 62"
(Зарегистрирован 24.12.2025 № 387)
Номер опубликования: 8301202512250004
Дата опубликования: 25.12.2025
Страница №3 из 5:
Увеличить