Приказ Департамента образования, культуры и спорта Ненецкого автономного округа от 13.01.2025 № 4
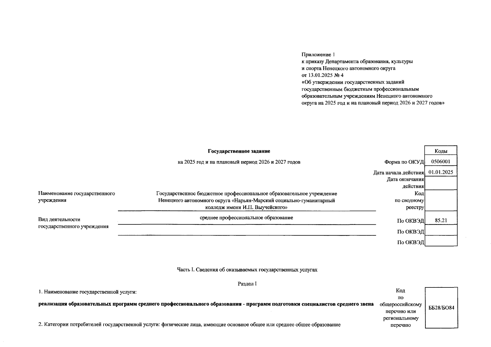
"Об утверждении государственных заданий государственным бюджетным профессиональным образовательным учреждениям Ненецкого автономного округа на 2025 год и на плановый период 2026 и 2027 годов"
(Зарегистрирован 13.01.2025 № 14)
"Об утверждении государственных заданий государственным бюджетным профессиональным образовательным учреждениям Ненецкого автономного округа на 2025 год и на плановый период 2026 и 2027 годов"
(Зарегистрирован 13.01.2025 № 14)
Номер опубликования: 8301202501130006
Дата опубликования:
13.01.2025
