Приказ Департамента внутреннего контроля и надзора Ненецкого автономного округа от 21.11.2024 № 18
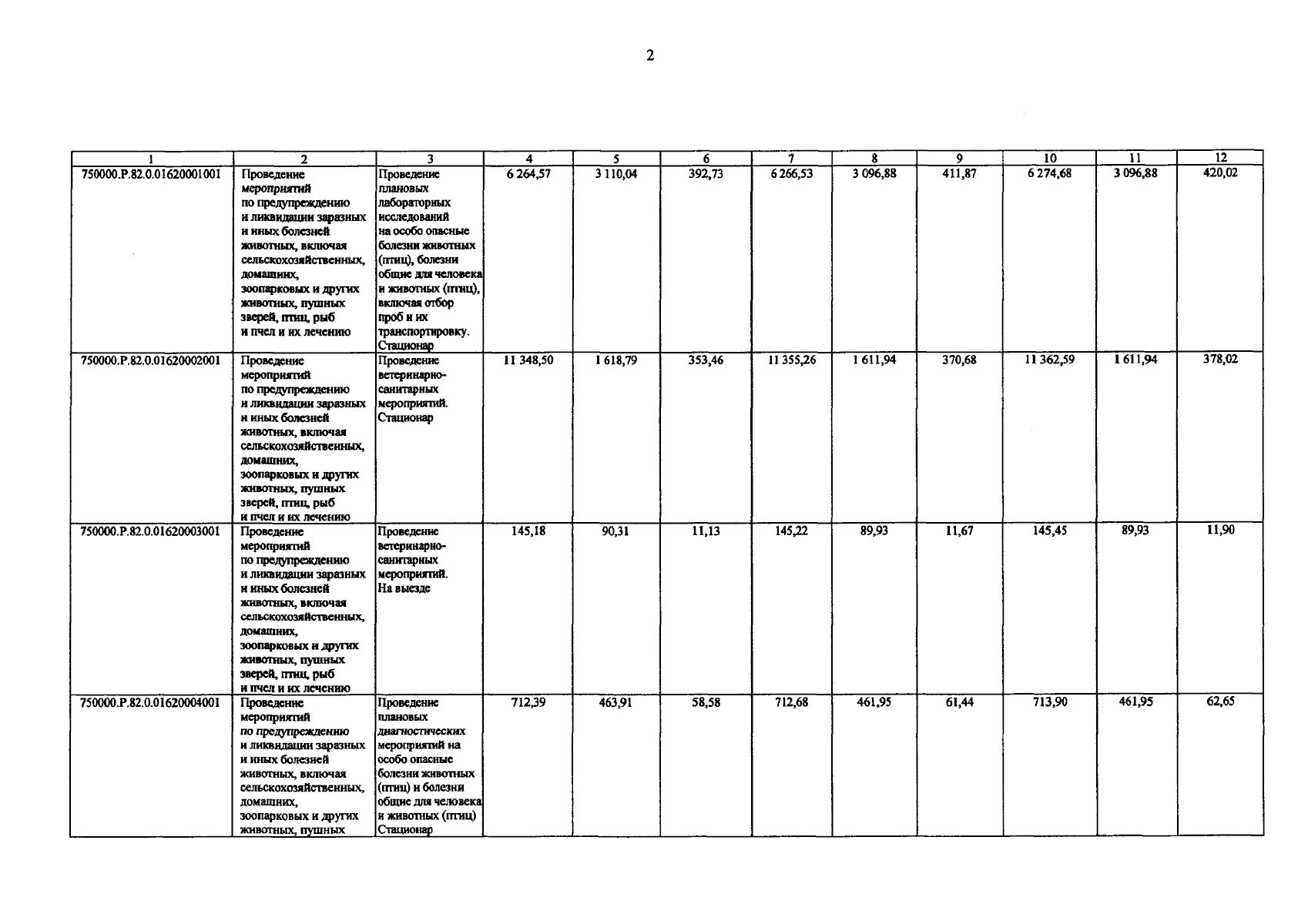
"О внесении изменений в значения базовых нормативов затрат для обеспечения оказания (выполнения) государственным бюджетным учреждением Ненецкого автономного округа "Станция по борьбе с болезнями животных" единицы государственной услуги (работы)"
(Зарегистрирован 21.11.2024 № 348)
"О внесении изменений в значения базовых нормативов затрат для обеспечения оказания (выполнения) государственным бюджетным учреждением Ненецкого автономного округа "Станция по борьбе с болезнями животных" единицы государственной услуги (работы)"
(Зарегистрирован 21.11.2024 № 348)
Номер опубликования: 8301202411220001
Дата опубликования:
22.11.2024
